
Öğretmen il içi tayin ihtiyaç listeleri paylaşıldı. MEB tarafından Öğretmenlerin 2024 İl içi yer değiştirme takvimi doğrultusunda başvurular 13 Mayıs itibari ile MEBBİS üzerinden alınmaya başlandı. Başvuruların başlamasıyla birlikte Milli Eğitim Müdürlükleri il içi yer değiştirme ihtiyaç listelerini paylaştı. Peki hangi illerde il içi isteğe bağlı yer değiştirme yapılacak? İl içi ihtiyaç listesi açıklanan iller hangileri? İşte MEB 2024 öğretmen il içi isteğe bağlı yer değiştirme tayinleri ihtiyaç listesi ve kontenjanları açıklanan illeri.

Öğretmenlerin merakla beklediği il içi isteğe bağlı yer değiştirme takviminde süreç başladı. MEB il içi yer değiştirme talebinde bulunmak isteyen öğretmenler için süreç başladı. Milli Eğitim Bakanlığı tarafından yayımlanan takvime göre, İl içi yer değiştirme başvuruları 13- 17 Mayıs 2024 tarihleri arasında alınacak. Peki ihtiyaç listesi nasıl öğrenilir? 2024 MEB isteğe bağlı yer değiştirme ihtiyaç listesi açıklanan iller listesi.

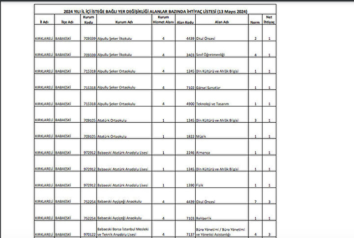
İl içi yer değiştirme başvurusunda bulunacak öğretmenler her zaman olduğu gibi İl Milli Eğitim Müdürlüklerince İl bazında ilçe ilçe okul okul 2024 İl içi ihtiyaç listelerini takip edip sağlıklı bir başvuru yapma adına il içi ihtiyaç kontenjanlarına göre tercih yapacak.

İl içi atama başvurusu http://mebbis.meb.gov.tr veya http://personel.meb.gov.tr adreslerinden yapılacak. 2024 yılı Öğretmenlerin il içi yer değişikliği işlemlerinde ihtiyaç durumuna bakılmaksızın norm olan tüm okul ve alanlar tercih edilebilmektedir. İhtiyaç listesi bilgilendirme amaçlı olup, değişiklik olabilecektir.

İl Milli Eğitim Müdürlükleri, "2024 Yılı Öğretmenlerin İl İçi İsteğe Bağlı Yer Değiştirme Duyurusu" gereği ihtiyaç listelerini resmi internet adreslerinden ilan etti.

İL İÇİ İHTİYAÇ LİSTESİ 2024 AÇIKLANAN İLLER HANGİLERİ?
MEB Personel olarak 2024 İl İçi İhtiyaç Listesi ve Kontenjanları şu şekilde:











































