
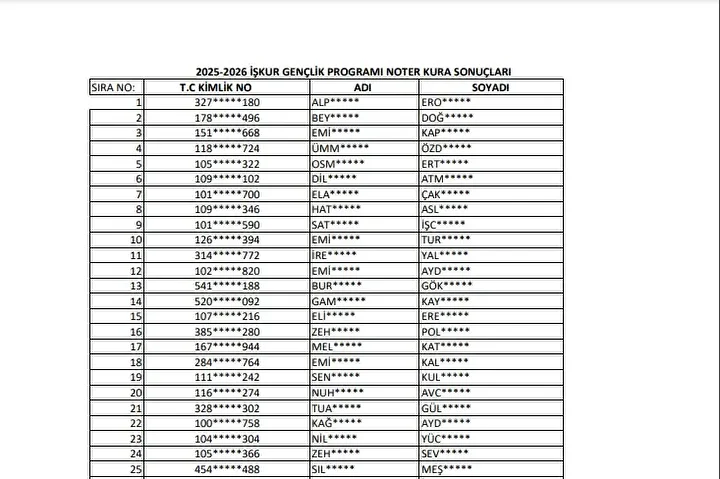
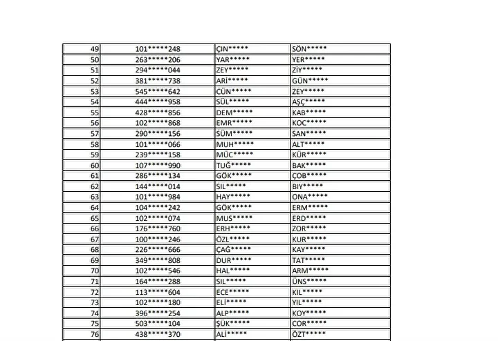
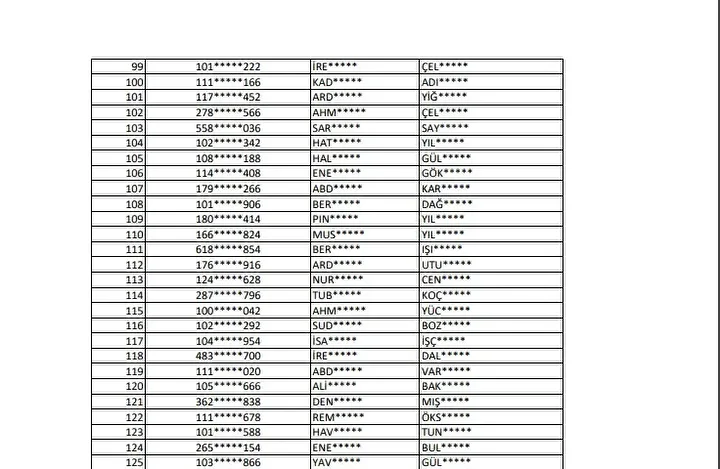
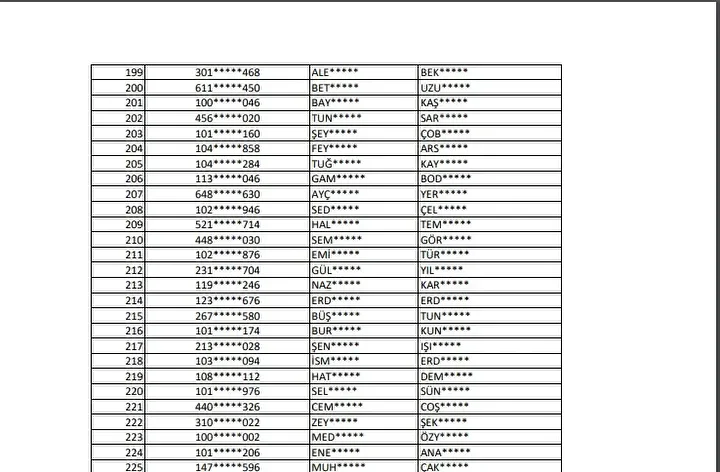
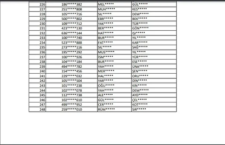
Kütahya Dumlupınara Üniversitesi İŞKUR Gençlik Programı başvuruları 11-15 Ekim 2025 tarihleri arasında https://genclik.iskur.gov.tr/ adresi üzerinden alındı. İŞKUR Gençlik Programı kura sonuçları isim listesi üniversitenin resmi internet sitesi üzerinden açıklandı. İşte Kütahya Dumlupınar Üniversitesi İŞKUR Gençlik Programı sonuçları isim listesi sorgulama ekranı.

İŞKUR’un gençlere yönelik istihdam ve deneyim kazandırma amacı taşıyan yeni programı için başvurular her üniversite için farklılık gösteriyor. Katılımcılara hem mesleki beceri geliştirme hem de maddi destek imkânı sunan program, belirli yaş aralığındaki gençleri kapsıyor.














Kütahya Dumlupınara Üniversitesi İŞKUR Gençlik Programı başvuruları 11-15 Ekim 2025 tarihleri arasında https://genclik.iskur.gov.tr/ adresi üzerinden alındı. Başvuruların tamamlanmasıyla birlikte gözler İŞKUR Gençlik Programı kura tarihine çevrildi. Kütahya Dumlupınara Üniversitesi kuraların ne zaman çekileceğine ilişkin açıklama yaptı.

11-15 Ekim 2025 tarihleri arasında https://genclik.iskur.gov.tr/ adresi üzerinden alınan İŞKUR Gençlik Programı başvurusu için kura çekimi 20 Ekim 2025 tarihinde Güzel Sanatlar Fakültesi Ahmet Yakupoğlu Konferans Salonu'nda gerçekleştirilecek.
Kütahya Dumlupınara Üniversitesi İŞKUR Gençlik Programı sonuçları isim listesi için tıklayın







